英国365集团官网
英国365集团官网
苏州市公共实训基地
江苏联合职业技术学院英国365集团官网办学点
数字化校园
院长信箱
OA办公系统
首页
英国365集团官网
学院简介
组织设置
现任领导
学院荣誉
学院位置
校园风光
新闻中心
学校要闻
通知公告
学院系部
机电工程系
电气工程系
信息工程系
创意服务系
人文发展系
交通工程系
专业建设
专业设置
国家示范专业
省级重点专业
省示范专业
专业实训室
技能风采
学生作品
技能快讯
学工在线
德育之窗
校园文化
学生风采
心理健康
校企合作
党建工作
党建动态
上级文件
规章制度
学习园地
校务公开
就业处
就业新闻
政策法规
合作企业
面试技巧
户籍指南
首页 - 就业处 - 就业新闻
就业新闻
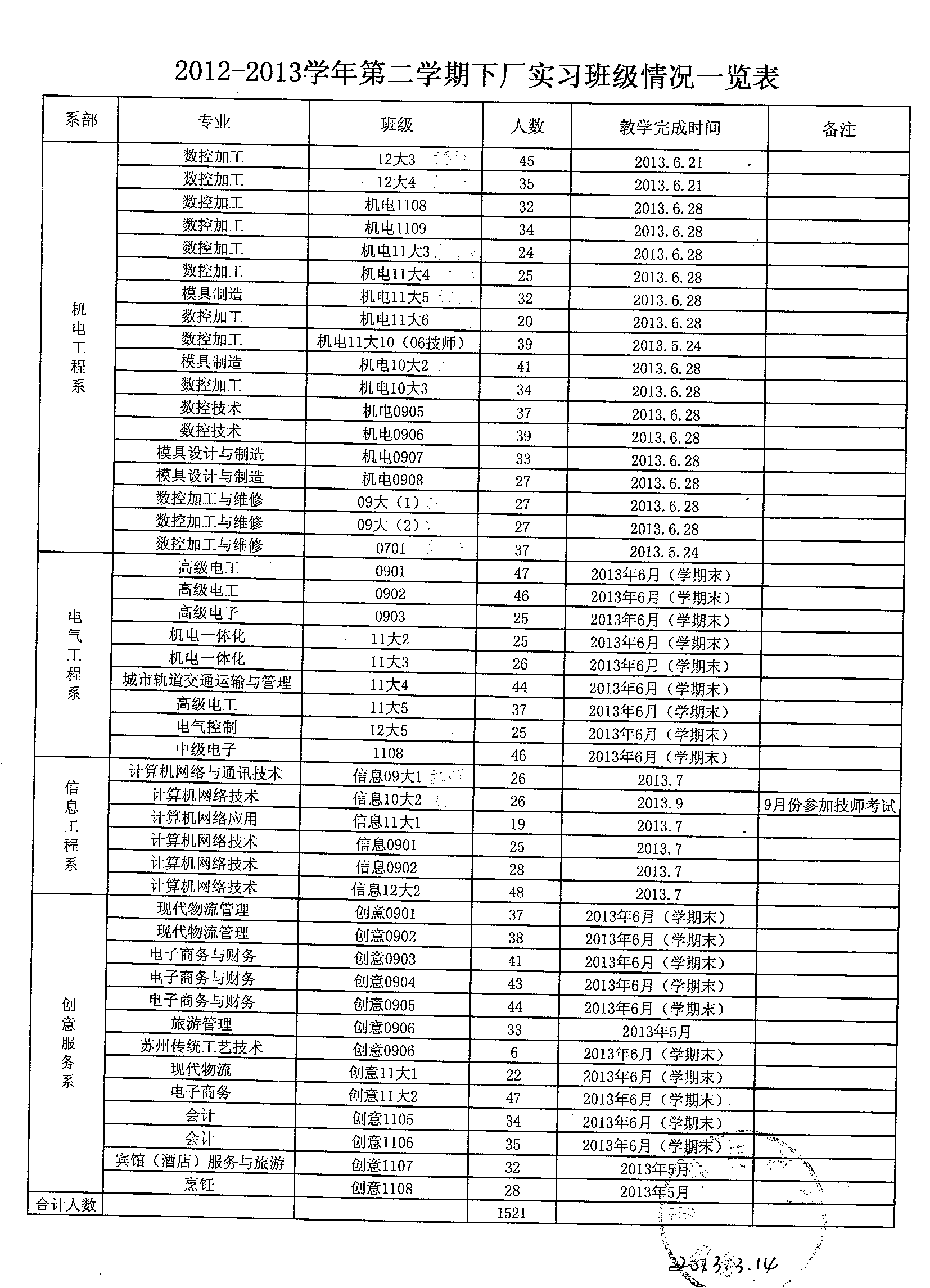
2012-2013学年第二学期实习学生情况
发表日期:2013-03-20 来源:英国365集团官网 浏览:4405次